由于离心鼓香蕉91视频APP下载是许多科学与技术融于一体的结合体,而且各项技术之间的联系又特别紧密不可分,以致于如果随意一个环节发生故障,都会对其他部分的正常工作造成影响。要维修离
通常情况下,任何离心香蕉91视频APP下载厂家都是需要对多级离心香蕉91视频APP下载的信息建立相应的管理档案的,企业的管理者能够将多级离心香蕉91视频APP下载的信息作为离心香蕉91视频APP下载维护维修时进行正确判断、分析和推理的
离心香蕉91视频APP下载厂家解读高压离心香蕉91视频APP下载机械部分常见故障的解决。
很多时候人们都会说到高压离心香蕉91视频APP下载的优化性检测,那这所谓的优化性检测是指什么呢?离心香蕉91视频APP下载厂家为大家解答。
基于准确的库存基础数据,对每年多级离心香蕉91视频APP下载备件采购计划的信息跟踪、库存数量的变更、备件供货渠道通畅性、现场故障对备件的依赖性等综合分析,大大提高了多级离心香蕉91视频APP下载备件
为适应离心香蕉91视频APP下载厂家生产规模快速扩大和高压离心香蕉91视频APP下载的设备管理需要,从备件管理着手降低离心香蕉91视频APP下载的维护成本对于企业的健康发展具有重要意义;同时也迫切需要香蕉视频在线观看视频建立一套综合
依据高压离心香蕉91视频APP下载备件的本身价值和可维修性判断,对高价值备件进行分类识别管理;高价值备件全寿命跟踪管理的功能与作用还体现为以下两点。
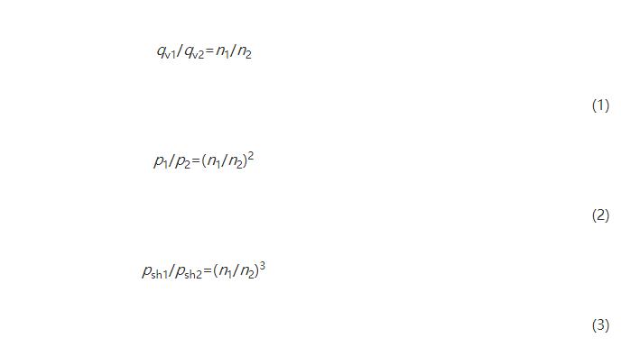
根据相似定律,在相似工况条件下多级离心香蕉91视频APP下载的转速由n1变为n2时,香蕉91视频APP下载流量、全压、轴功率均发生变化,变化前后各性能参数与转速的关系如下:
多级离心香蕉91视频APP下载的从业者应该努力掌握香蕉91视频APP下载的结构、工作原理、性能特点及影响因素,从而可以根据不同运行工况,不同使用条件,设计选择出综合表现比较好的离心香蕉91视频APP下载。伴随人们对环
对于多级离心香蕉91视频APP下载噪声的测量,倍频带是一个很常用的名称,而了解倍频带,对于人们注意离心香蕉91视频APP下载噪声是很有帮助的。
济南香蕉视频在线观看视频香蕉91视频APP下载制造有限公司www.paintcn.net 版权所有 技术支持:卓博科技 网站地图
法律声明:本网站部分内容来源于网络,如有侵权请告知!香蕉视频在线观看视频立即删除;本网站严格遵循国家相关法律法规规定,如有不当之处,请告知!香蕉视频在线观看视频立即删除。